tyc122cc太阳成
当前位置: 网站首页>>系部动态>>通知公告>>正文
系部动态
通知公告
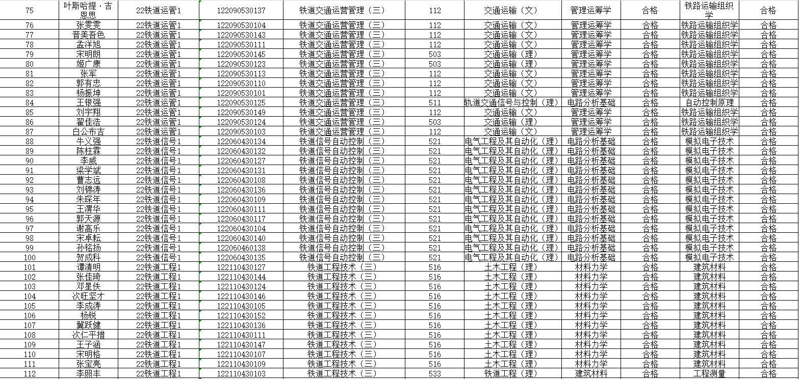
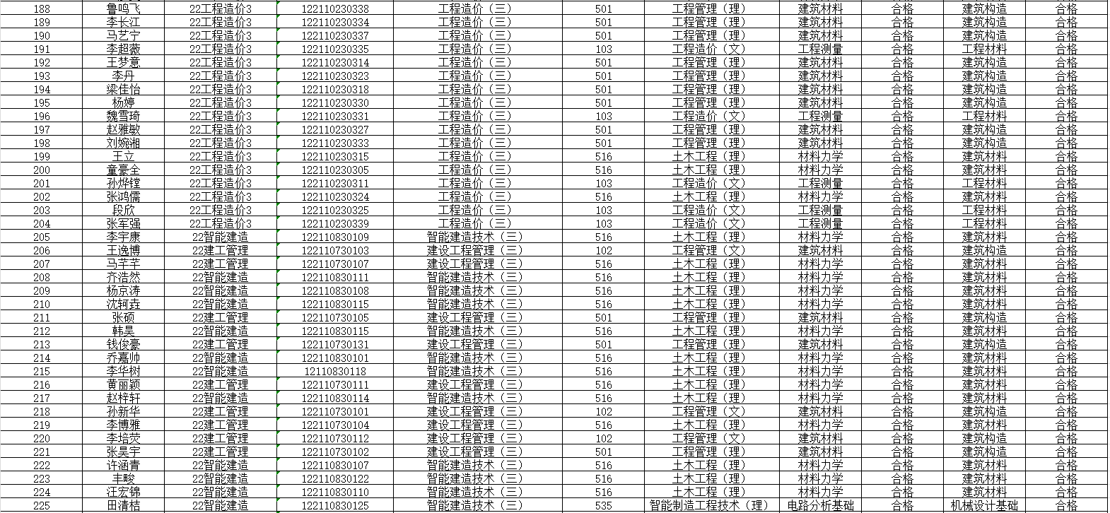
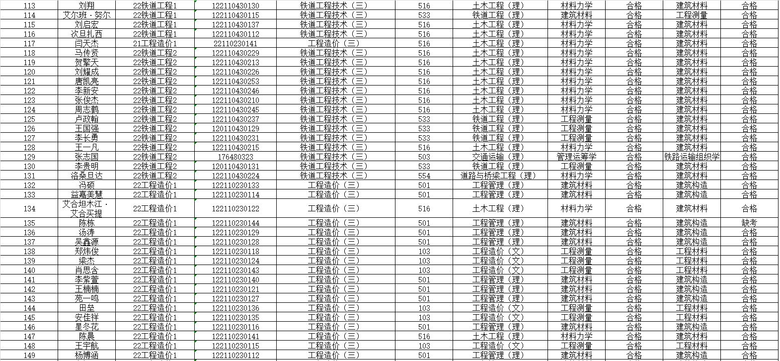
tyc122cc太阳成2025年专升本专业课考核成绩公示
来源:tyc122cc太阳成 阅读: 日期:2025-03-04

根据tyc122cc太阳成集团专升本专业课考核通知要求,tyc122cc太阳成3月3日统一组织专业课考试,现将2025年专升本专业课考核成绩公示如下:

公示内容:tyc122cc太阳成2025年专升本专业课考核成绩

公示时间:2025年3月4日至2025年3月6日

注意事项:请考生认真核对个人信息及成绩数据,如有异议请及时联系教学与管理科(行知楼南201室)。

扫描手机阅览/分享

地址:陕西省宝鸡市宝福路56号 联系电话:0917-3633825 招生咨询电话:3328888/3633887/3633889

Copyright© 中国·tyc122cc太阳成集团(品牌公司)-官方网站 版权所有 All Rights Reserved. 陕ICP备06007315号-2